Approximately 20% of the US population between the ages of five and 19 speaks a language other than English at home (Dietrich & Hernandez, 2019). Despite comprising an increasingly large proportion of students, emergent bilingual children, commonly referred to as English language learners (ELLs), are at a higher risk of experiencing academic difficulties than their monolingual peers (Irwin et al., 2024). There is also evidence that bilingual children, including those with proficiency in English, are disproportionately represented in special education, with evidence of both over- and underrepresentation (Artiles et al., 2005; Cruz & Firestone, 2022; Hibel & Jasper, 2012; Morgan, Farkas, Hillemeier, Li, et al., 2017; Samson & Lesaux, 2009; Sullivan, 2011; Umansky et al., 2017; Yamasaki & Luk, 2018). Overrepresentation indicates a higher likelihood of receiving special education services for bilingual children, relative to their monolingual peers, while underrepresentation reflects a lower likelihood of service receipt. Although disproportionate representation in special education does not necessarily indicate misidentification, it suggests the presence of systematic differences in the likelihood of receiving special education. Concerns about inequitable access to services warrant a careful examination of the mechanisms underlying disability identification trends.
Studies of children from linguistically diverse backgrounds have used a variety of terms to define the population of interest, such as dual language learner, ELL, language minority, multilingual, and bilingual. We will use the term bilingual to refer to children who are exposed to and have had the opportunity to learn multiple languages. This term is an acknowledgement that children who are just beginning to learn English at school entry are, in fact, emergent bilinguals, and those who have had substantive prior English exposure are English-proficient bilinguals (García et al., 2008). Given the implications for interprofessional practice in schools, it is critical to understand the differences in terminology as they relate to important phenomena such as disproportionality and dimensions of over/underrepresentation—especially in the context of special education service delivery. To that end, the purpose of this study is to examine the differences in receipt of special education services for heterogenous groups of bilingual children relative to their monolingual peers.
Patterns of Disproportionate Representation for Bilinguals
Disproportionality has often been regarded primarily as a problem of overrepresentation (e.g., Artiles & Trent, 1994; Coutinho & Oswald, 2000; Dunn, 1968). Despite this characterization, research has increasingly highlighted a more complex issue, demonstrating evidence of both overrepresentation (Artiles et al., 2005; De Valenzuela et al., 2006; Sullivan, 2011) and underrepresentation (Morgan et al., 2015; Morgan, Farkas, Hillemeier, Li, et al., 2017) of bilingual children in special education. Although these two patterns may appear to be at odds with one another, there is evidence showing the presence of both, depending on factors such as grade level and language background. Several studies point to a dynamic pattern of disproportionality, demonstrating that the likelihood of disability identification may differ as students progress through school. Samson and Lesaux (2009), using the Early Childhood Longitudinal Study, Kindergarten Class of 1998–99 (ECLS-K), a nationally representative longitudinal dataset with observations from 1998 to 2007, examined rates of special education service receipt in early elementary school for children from different language backgrounds. Relative to native-English speakers, children from language minority backgrounds who were exposed to a language other than English at home were underrepresented in special education in kindergarten but overrepresented by third grade. Language minority status, teacher-rated language and literacy skills, and reading proficiency level were all predictors of special education service receipt. Several other studies have found similar evidence of an increasing likelihood of disability identification for bilinguals as they progress through school (Artiles et al., 2005; Hibel & Jasper, 2012; Samson & Lesaux, 2009).
Linguistic differences in the population under investigation may also account for the varied outcomes of previous studies. Although bilingual children are often treated as a homogenous group, differences in children’s language background may impact the likelihood of being identified with a disability. This is a particularly important consideration in the area of language assessment, given the potential performance differences for children with different linguistic profiles (Bedore et al., 2018). Samson and Lesaux (2009) focused on children from non-English speaking households, regardless of their English proficiency, highlighting the importance of considering linguistic diversity beyond ELL classifications. The consideration of linguistic heterogeneity in this study aligns with a growing body of research acknowledging its importance when examining disability identification trends. Yamasaki and Luk (2018), using parent- and school-reported data in their examination of special education service receipt in a school district in Massachusetts, found that although English-proficient bilinguals experienced consistent underrepresentation in the categories of speech or language impairments (SLI) and specific learning disabilities (SLD), emergent bilinguals experienced an increasing likelihood of receiving services as they progressed through school, leading to overrepresentation. Artiles et al. (2005), in a study of school districts in California, similarly found that emergent bilinguals were overrepresented in special education at the secondary level, but English-proficient bilinguals were underrepresented. Varying levels of English experience may shape both initial underrepresentation and eventual overrepresentation, highlighting the need for approaches to disability identification that account for linguistic diversity to ensure equitable levels of support.
Language-Related Disorders
There are distinct identification patterns across disability categories, as demonstrated in previous studies of disproportionality (Cruz & Firestone, 2022; Morgan et al., 2015). The identification of language-related disorders, including SLI and SLD, is an area of particular relevance for bilingual children given the challenge of differentiating between language differences and disorders. The identification of both SLI and SLD relies on the measurement of skills related to language ability, such as verbal expression, comprehension, reading, writing, as well as associated cognitive areas, including executive functioning skills, such as working memory. Typical characteristics of dual language development may be misattributed to symptoms of an underlying language-related disorder if not accounted for in assessment (Bedore & Peña, 2008; Kohnert, 2010). Although the difficulties associated with SLI and SLD may manifest differently, the well-established link between oral and written language disorders (e.g., Catts & Kamhi, 2005; Snowling & Hulme, 2021) highlights the importance of examining these two disability categories together. Approaches to assessment that do not adequately consider children’s language background may be particularly problematic for SLI and SLD identification, given the reliance on measurement of skills related to language ability (Morgan et al., 2015).
Despite similarities, there are several distinguishing characteristics between SLI and SLD, including their presentations and the timing of their identification. Because difficulties associated with SLI may be more evident in early childhood, such as atypical phonological development or limited expressive vocabulary, its identification is likely to occur relatively early in life. Difficulties related to SLD, on the other hand, are often related to the development of reading ability (Dirks et al., 2008). Challenges in this area are likely to become more apparent as children progress through school, coinciding with an increase in grade-level academic expectations. In addition to differences in the timing of identification, assessment of SLI and SLD may also take very different forms, depending on the child’s age and the specific areas of concern. Assessment for SLI often focuses on expressive and receptive language ability, whereas SLD assessment may center more on skills related to literacy, such as oral reading fluency and phonological awareness. Lastly, there is also substantial heterogeneity within each of these disability categories, resulting in a range of non-overlapping presentations. Children with SLD, for example, may exhibit difficulty with math skills (i.e., dyscalculia), which is less likely to be an area of concern for an individual with SLI.
Factors Contributing to Disproportionality
Although there is no clear consensus regarding the root cause of disproportionality in special education for bilingual children, there are several potential mechanisms at play. One factor commonly argued to contribute to overrepresentation is misidentification stemming from biased assessment. Bilingual children may have an increased risk of being misidentified due to poorly designed or inadequate tests (Barragan et al., 2018), measurement of achievement rather than learning capacity (Orellana et al., 2019), or a lack of culturally responsive assessment practices broadly (Skiba et al., 2002). Poor quality of instruction may also play a role in disproportionality, particularly when educational environments are not aligned with the needs of children from diverse language backgrounds. Failure to account for differences in experiences prior to school entry, such as language exposure and access to early childhood education, can result in inaccurate estimates of academic ability (Mancilla-Martinez et al., 2021) and poorer outcomes for bilingual learners (O’Connor et al., 2014). As a consequence, children who enter school with limited English exposure may experience an increased likelihood of being identified as at risk of academic failure. Additionally, inadequate training for educators in culturally responsive teaching methods and bilingual education can exacerbate these issues, leading to instructional strategies that do not address the specific needs of bilingual students (Kim, 2020). If provided with access to higher quality instruction, bilingual students may be less likely to need the additional support of special education services, as exemplified by evidence from studies of response to intervention (e.g., O’Connor et al., 2013).
Assessment bias and instructional quality may offer plausible explanations for overrepresentation, but these factors do not sufficiently account for underrepresentation. Underrepresentation may be more closely linked with socioeconomic, cultural, or linguistic barriers. The systemic inequities that families from language-minority communities face may lead to lower levels of engagement with schools and consequently reduced access to special education services. For example, families may feel ill-informed about special education eligibility procedures, resulting in difficulty engaging effectively with educators (Wolfe & Durán, 2013). Limited engagement may also stem from previous negative experiences with the disability identification process. Immigrant families, in particular, may be generally less familiar with the processes involved in disability identification due to fewer interactions with healthcare providers (Calvo & Hawkins, 2015). Reduced access to healthcare services may also decrease the likelihood of a referral generated by a provider. Another potential explanation for underrepresentation is the possibility that children in under-resourced schools experience a lower likelihood of being identified with a disability (Hibel et al., 2010; Morgan et al., 2015). Lastly, some researchers have suggested that the cognitive advantages associated with bilingualism (Adesope et al., 2010) may result in a lower likelihood of disability identification. The cognitive benefits of being bilingual may serve as a type of compensatory mechanism that masks areas of difficulty and ultimately leads to underidentification (Yamasaki & Luk, 2018).
Another important pattern to consider is the aforementioned increasing likelihood of special education service receipt as bilingual students progress through school (Artiles et al., 2005; Samson & Lesaux, 2009; Yamasaki & Luk, 2018). One possible explanation for this trend may be related to a hesitancy by teachers to refer emergent bilinguals for disability evaluations until they exhibit a sufficiently high level of English proficiency. Teachers may attribute observed areas of difficulty to a lack of sufficient exposure to English, and subsequently delay a referral for a disability evaluation due to the belief that emergent bilingual students will be unable to benefit from special education services if they do not demonstrate a mastery of English (Hibel & Jasper, 2012; Limbos & Geva, 2001). The existence of a “reclassification bottleneck” (Umansky et al., 2017, p. 92) may exacerbate the problem. Children classified as ELLs who also receive special education services are less likely to be reclassified as non-ELLs, resulting in inflated numbers of emergent bilinguals in special education in higher grades (Umansky et al., 2017). The criteria for reclassification often require high achievement levels for students to transition to non-ELL status, a process that may inadvertently exclude students with academic difficulty.
The Present Study
Regardless of its manifestation as over- or underrepresentation, disproportionality represents differential access to needed special education services. To better address the problem, a clearer understanding of the underlying nature of disability identification in schools for children from different language backgrounds is needed. Disproportionality policy and research have primarily focused on disparities related to race and ethnicity, but identification rates for bilingual students have received less attention. Among studies that include bilinguals, few consider the role that heterogeneity in language background may play (Artiles et al., 2005; Yamasaki & Luk, 2018). Many studies use parent report of exposure to a language other than English as a measure of language background (Morgan et al., 2015; Morgan, Farkas, Hillemeier, Li, et al., 2017; Samson & Lesaux, 2009), while others rely on the educational classification of ELL (Cruz & Firestone, 2022; Sullivan, 2011; Umansky et al., 2017), a label that is not inclusive of all bilingual students and whose classification criteria may vary widely across schools (National Research Council, 2011). With respect to methodology, it is common for studies to use aggregated school- or district-level data, which do not include relevant individual-level variables that may mediate rates of identification (Robinson & Norton, 2019; Sullivan, 2011). Studies utilizing extensive statistical controls have found evidence of underrepresentation of bilinguals in special education (Morgan et al., 2015; Morgan, Farkas, Hillemeier, Li, et al., 2017; Umansky et al., 2017), contrasting with the outcomes of studies that provide estimates of identification rates in the absence of such controls (Artiles et al., 2005; Samson & Lesaux, 2009; Yamasaki & Luk, 2018). Lastly, few published studies have examined both the prevalence and incidence of disability identification in bilinguals (McKenzie et al., 2016). While prevalence tells us about the number of children currently receiving services within a specific disability category, incidence provides information about the rate at which children are newly identified. This distinction is critical, as neither metric provides a comprehensive representation of the patterns underlying disproportionality in the absence of the other. Delays in evaluation may contribute to discrepancies in initial identification, which is particularly relevant for bilingual children, given evidence of growth from under- to overrepresentation as students progress through school (Samson & Lesaux, 2009; Yamasaki & Luk, 2018). Examining incidence allows for a clearer understanding of the timing of initial identification across different language groups, as highlighted in previous work (Umansky et al., 2017), providing a more complete picture of identification trends.
The purpose of this study is to determine the degree to which bilingual children are disproportionately identified with language-related disorders, relative to their monolingual peers. We ultimately aim to inform clinical and educational decision making and practice related to children who currently or are likely to interact with service delivery models that are mandated to support language and learning outcomes. Using a large, nationally representative data set, this study examined rates of identification of SLI and SLD for emergent and English-proficient bilingual students in elementary school by answering the following research questions:
How do the proportions of children identified with language-related disorders differ by grade, for emergent bilinguals, English-proficient bilinguals, and monolinguals?
To what extent does language background (emergent bilingual, English-proficient bilingual, and monolingual) predict the receipt of services for SLI, SLD, and other disabilities by grade, when accounting for health, developmental, sociodemographic, and academic variables?
To what extent does language background (emergent bilingual, English-proficient bilingual, and monolingual) predict the initial identification of SLI, SLD, and other disabilities by grade, when accounting for health, developmental, sociodemographic, and academic variables?
Method
Data
We used the Early Childhood Longitudinal Survey, Kindergarten Class of 2010–11 (ECLS-K:2011), an individual-level, nationally representative, longitudinal data set with observations from children, parents, and teachers from kindergarten (n = 18,170) to fifth grade (n = 12,350). This data set includes observations from the fall and spring from kindergarten to second grade, and in the spring from third to fifth grade. Data collection was conducted from 2010 to 2016. The ECLS-K:2011 includes a diverse composition of participants with respect to race, ethnicity, and language background. The restricted-use version of the ECLS-K:2011, used in this study, is available from the Institute of Education Sciences with a license agreement.
Measures
We selected a range of time-invariant and time-varying variables from the ECLS-K:2011, drawing from those used in previous studies of disproportionality (Morgan et al., 2015; Morgan, Farkas, Hillemeier, Li, et al., 2017; Umansky et al., 2017). The following sections provide a description of these variables and the rationale for each (see Table 1 for descriptive statistics for included variables).
Descriptive Statistics for ECLS-K:2011 Data Sets.
| EMERGENT BILINGUAL (n = 390) | ENGLISH-PROFICIENT BILINGUAL (n = 2,650) | MONOLINGUAL (n = 12,670) | TOTAL SAMPLE (n = 15,700) | |
| Proportion (%) | ||||
| Weighted proportion of total sample | 2.38 | 14.98 | 82.63 | 100 |
| English as a second language services | 70.63 | 47.51 | 1.32 | 9.89 |
| Race-ethnicity | ||||
| White | 3.80 | 6.94 | 61.09 | 51.61 |
| Black | 1.16 | 3.98 | 15.65 | 13.55 |
| Hispanic | 89.17 | 70.25 | 14.39 | 24.55 |
| Other | 5.87 | 18.18 | 8.44 | 9.84 |
| Sociodemographic characteristics | ||||
| Child of immigrant | 78.93 | 79.83 | 10.02 | 22.12 |
| Parents unmarried | 42.6 | 34.11 | 34.12 | 34.32 |
| Developmental/health characteristics | ||||
| Male | 52.78 | 50.30 | 51.79 | 51.59 |
| Low birth weight | 9.87 | 6.01 | 7.71 | 7.50 |
| Premature birth | 14.41 | 10.67 | 17.66 | 16.53 |
| Age of mother at birth ≤18 | 5.00 | 2.85 | 2.93 | 2.97 |
| Age of mother at birth ≥38 | 3.19 | 3.75 | 4.94 | 4.72 |
| No health insurance | 11.37 | 8.51 | 3.24 | 4.23 |
| School region | ||||
| Northeast | 12.45 | 16.97 | 15.90 | 15.98 |
| Midwest | 6.76 | 12.15 | 23.20 | 21.15 |
| South | 43.83 | 30.20 | 38.10 | 37.05 |
| West | 35.43 | 39.41 | 20.70 | 23.85 |
| M (SD) | ||||
| Socioeconomic status | –0.96 (0.53) | –0.53 (0.80) | 0.03 (0.77) | –0.08 (0.81) |
| Academic achievementa | ||||
| Reading | –1.33 (1.09) | –0.42 (0.68) | –0.22 (0.61) | –0.27 (0.66) |
| Mathematics | –0.91 (0.69) | –0.56 (0.61) | –0.33 (0.61) | –0.38 (0.62) |
| Behavioral functioningb | ||||
| Self-regulation | 3.17 (0.64) | 3.21 (0.61) | 3.17 (0.64) | 3.17 (0.64) |
| Externalizing problem behaviors | 1.57 (0.63) | 1.55 (0.57) | 1.66 (0.65) | 1.64 (0.64) |
| Internalizing problem behaviors | 1.57 (0.54) | 1.47 (0.46) | 1.52 (0.50) | 1.51 (0.50) |
| Working memory spring kindergartenc | 82.99 (16.30) | 91.02 (17.46) | 96.09 (16.75) | 95.02 (17.04) |
| Age at school entry (months) | 66.26 (4.28) | 66.79 (4.35) | 67.71 (4.54) | 67.55 (4.53) |
| School characteristics | ||||
| % free/reduced lunchd | 74.25 (24.01) | 59.7 (30.48) | 39.78 (30.25) | 43.72 (31.34) |
| % minority studentsd | 83.58 (20.71) | 72.67 (27.54) | 40.54 (31.77) | 46.63 (33.57) |
-
Note. Proportions, means, and standard deviations are from kindergarten and are weighted for nonresponse from parents and teachers. Samples sizes by group reflect the number of participants for whom observations about language background were available. Sample sizes rounded to the nearest ten per security rules for data set.
aValues represent z-scores from Spring kindergarten. bValues represent raw scores from teacher-rating scale from Spring kindergarten. cValues represent standard scores. dValues represent means of proportions at the school level.
Disability Identification
Variables for disability identification comprised two time-varying measures from the ECLS-K:2011: receipt of special education services and disability category. For each participant, special education teachers reported whether they received services, as well as the disability category for children receiving services. We used these variables to determine which children received special education services, and if they were identified with SLI or SLD. In addition, we included a third aggregate category representing disabilities other than SLI or SLD, as a comparator, which we define as other disabilities.
Linguistic Characteristics
We used two variables from the ECLS-K:2011 to determine the language background of participants: parent report of exposure to a language other than English at home and the results of an English language screener, the Preschool Language Assessment Scale English (preLAS; Duncan & De Avila, 1998). Bilingual status was determined using the time-invariant parent report of language exposure at home, which was collected in fall of kindergarten. We used the X12LANGST variable which describes whether a language other than English was spoken by at least one parent at home. Estimating language exposure through the use of parent report measures has been used in previous studies of disproportionality (Morgan et al., 2015; Morgan, Farkas, Hillemeier, Li, et al., 2017; Samson & Lesaux, 2009; Yamasaki & Luk, 2018) as well as in studies of SLI in bilingual children (Bedore et al., 2018; Gillam et al., 2013; Paradis et al., 2010). We used the time-invariant variable for a passing score on the English language screener administered in fall and spring of kindergarten to identify students with limited prior exposure to English. The screener comprised two subtests from the preLAS: the Simon Says and Art Show tasks, which were used to evaluate receptive and expressive English ability, respectively. From these measures, we created a composite variable consisting of parent report and English screener results to distinguish between emergent bilinguals, English-proficient bilinguals, and monolinguals. Both emergent and English-proficient bilinguals were exposed to a language other than English at home. Emergent bilinguals were children who did not pass the English screener in either fall or spring of kindergarten, whereas English-proficient bilinguals were bilingual children who passed the screener at either of these time points. Monolingual children were those who were not exposed to a language other than English at home. The method used to distinguish between different language backgrounds in this study is similar to that used in previous research using the ECLS-K:2011 (Han, 2012). Screener results provide insight into the predictive significance of having entered school as an emergent bilingual, English-proficient bilingual, or monolingual.
Due to the varied methodologies employed by schools to classify children as ELLs, the results of the preLAS did not consistently align with school-provided classifications. This discrepancy is evident in the proportions of children across groups who received English as a second language services (see Table 1). While the majority of emergent bilinguals were classified as ELLs, this was not universally true. Approximately 71% of children in the emergent bilingual group were classified as ELLs, compared to 47% in the English-proficient bilingual group and only 1% in the monolingual group. These figures highlight the variability in ELL classification. By utilizing language screener results instead of ELL classifications, we establish a uniform method of measurement that applies to all participants, regardless of school criteria. To maintain conceptual clarity, we did not include the variable representing receipt of English as a second language services in our analysis.
Sociodemographic Characteristics
We included several time-invariant sociodemographic variables from the ECLS-K:2011, including race-ethnicity, socioeconomic status, family immigration status, and parental marital status. Variables for race-ethnicity included White, Black, Hispanic, and other. Family socioeconomic status consisted of a composite variable measured in the spring of kindergarten, which included family income, parent occupation, and education level, as used in previous studies (Morgan, Farkas, Hillemeier, Li, et al., 2017). Additionally, we included family immigration status to account for potential differences in disability identification risk among children of immigrants. We considered participants to be children of immigrants if at least one parent was born outside of the US (Hibel & Jasper, 2012). Lastly, we included parental marital status, as reported by parents in the spring of kindergarten, to account for differences related to family composition.
Developmental and Health Characteristics
We included the reported gender of each participant to account for the higher rates of disabilities in boys than girls (National Center for Education Statistics, 2021). We included both prematurity at birth and low birth weight (<5.5 pounds) as they are associated with a greater risk of language impairment (Sansavini et al., 2010). In addition, we included maternal age at birth, due to the possible differences in the risk for language-related disorders for children born to younger or older mothers (Harrison & McLeod, 2010). Lastly, we included the presence of health insurance coverage due to the possibility that uninsured families may have restricted access to healthcare providers, who play an important role in identifying developmental disabilities in early childhood.
Direct Child Assessment
Variables for direct child assessment from the ECLS-K:2011 included academic achievement, behavioral functioning, and working memory. Academic achievement is strongly associated with variation in disabilities; children with lower levels of achievement are more likely to be identified with language-related disorders (Morgan et al., 2015). For this reason, we included two variables, representing academic achievement measures from reading and mathematics tests administered in kindergarten. Both reading and math assessments exhibited low levels of differential item functioning, indicating that participant subgroups exhibited similar performance on test items (Tourangeau et al., 2019). Regarding language of administration, the majority of assessments were conducted in English, though portions were administered in Spanish for students identified as Spanish speakers. The choice of the language for test administration was based on the results of the previously described English screener. The administration of these tests in other languages was not reported. We used reported standard scores for these tests to facilitate ease of interpretation. To avoid biased parameter estimates due to endogeneity, or reciprocal causation (Singer & Willett, 2003), reading and math scores were included as time-invariant variables, as measured in kindergarten, an approach that has been used in previous studies of disproportionality (Hibel & Jasper, 2012; Umansky et al., 2017).
Differences in child behavior characteristics are associated with the incidence of language-related disorders (Harrison & McLeod, 2010). To account for differences in behavioral functioning, we included outcomes from two rating scales included in the ECLS-K:2011, which were administered in kindergarten: a modified version of the Social Skills Rating System (SSRS; Gresham & Elliott, 1990) and the Approaches to Learning Scales (Tourangeau et al., 2019). The SSRS is used to measure problem behaviors that may negatively impact social skill development and includes externalizing and internalizing problem behaviors scales. The Approaches to Learning scale was developed for the ECLS-K:2011 and measures self-regulatory behaviors, such as eagerness to learn, keeping items organized, and persistence in completing tasks. We included measures of behavioral functioning as time-varying, due to the inherent subjectivity of the method of measurement—teacher-rating. Working memory is also associated with language ability, and can be used to aid the identification of language impairment (Ortiz, 2021) and SLD (Schuchardt et al., 2008). For this reason, we included standard scores from the Numbers Reversed task from the Woodcock-Johnson Psychoeducational Battery, Third Edition (Woodcock et al., 2001), which was administered in either Spanish or English.
School-Level Variables
We included three school-level variables from the ECLS-K:2011: percent free/reduced price lunch, percent minority enrollment, and geographic region. Free/reduced-price lunch and percent minority enrollment were included to control for potential differences in rates of identification for schools serving larger proportions of students from low socioeconomic status or minority backgrounds (Hibel et al., 2010). In addition, we included geographic region (Northeast, Midwest, South, and West) to account for differences in special education eligibility practices across the country (Morgan et al., 2012).
Analytic Method
To address the first research question, regarding the proportion of children from each group identified with disabilities, we examined descriptive data for the receipt of services for SLI, SLD, and other disabilities. We derived tabulated proportions of the reported prevalence of each disability category by grade separately for emergent bilinguals, English-proficient bilinguals, and monolinguals. These descriptive data provide general information about service receipt across groups, against which to make additional comparisons.
To answer the second research question, regarding the role of language background in predicting receipt of services for disabilities—prevalence—we examined the proportion of children receiving special education services by language background. Using person-period data sets, we estimated separate full and reduced logistic regression models for the categories of SLI, SLD, and other disabilities as the outcomes. All models included a categorical variable representing language background with three levels: emergent bilinguals, English-proficient bilinguals, and monolinguals. In addition, all models included a term representing the interaction between grade level and language background to account for any potential change in the likelihood of disability identification for bilinguals as they progressed through school (Artiles et al., 2005; Samson & Lesaux, 2009; Yamasaki & Luk, 2018). Full models included all previously described time-varying and time-invariant predictors, to control for variation along variety of dimensions. We derived marginal contrasts from each model for each grade to examine the relative likelihood of being represented in each disability category by grade.
To address the third research question, regarding the initial identification of disabilities—incidence—for bilinguals and monolinguals, we estimated discrete time logit models in order to examine identification rates for SLI, SLD, or other disabilities from kindergarten to fifth grade. Discrete time models provide information about the risk of a specific event, contingent upon that event not having previously occurred (Singer & Willett, 2003) and have been used in the investigation of disproportionality in several previous studies (Hibel & Jasper, 2012; Morgan et al., 2015; Umansky et al., 2017). We fit discrete time models in the same manner previously described for logistic regression models but used person-period data sets in which individuals who had been identified with a disability in a given grade were excluded from analysis in future grades. In this manner, discrete time models provide estimates of disability incidence, by excluding individuals for whom a disability was previously identified.
We present results from both logistic regression and discrete time models in terms of odds ratios (OR), which describe differences in the likelihood of event occurrence for one group compared to another. Using monolingual children as the reference group, odds ratios of greater than 1 indicate higher rates of disabilities for bilinguals. Odds ratios between 0 and 1 indicate lower disability rates compared to monolinguals. Outcomes provide estimates for differences in the prevalence and incidence of disabilities, from logistic regression and discrete time models, respectively. Although estimates derived from schools may not reflect the true rates of disabilities in the population (McKenzie et al., 2016), they are useful for identifying disparities in identification rates for children from different backgrounds. The terms adjusted prevalence and incidence refer to estimates derived from full, covariate-adjusted, models.
To ensure representative parameter estimates, we included survey weights provided by the ECLS-K:2011 to account for nonresponse in all models. The sample comprised participants clustered within schools and for this reason all models utilized robust variance estimation to account for dependent outcomes for participants in the same schools. All models were fit using Taylor series linearization, which provides unbiased parameter and standard error estimates while accounting for clustering in complex survey data. The number of clusters (i.e., schools) included in the analysis was 860 and results using Taylor series linearization approximate those of multilevel models when there are greater than approximately 30 clusters (Huang, 2016). The fraction of missing information ranged from <.01 to .34 across variables. To ensure that estimates were not biased due to missing data, we fit models using multiple imputation of twenty complete data sets, to minimize power loss based on the fraction of missing information (Graham et al., 2016). We used the multiple imputation then deletion procedure in order to enhance the precision of estimates (von Hippel, 2007). We conducted all analyses using the software program R (R Core Team, 2024) along with the EdSurvey (Bailey et al., 2021) and survey (Lumley, 2020) packages.
We conducted a sensitivity check to assess the degree to which outcomes varied when including receipt of English as a second language services as an additional variable. Our language background variable was derived from language screener results and parent report of language exposure, rather than school-provided ELL classification. Therefore, the models described above did not include the variable for receipt of English as a second language services. To explore any potential influence of these services, we estimated additional logistic and discrete-time models that included this variable. To ensure that the variable for English as a second language instruction was comparable to our composite measure of language background, we included it as time-invariant as measured in kindergarten.
Results
Descriptive Comparison of Special Education Service Receipt by Language Background
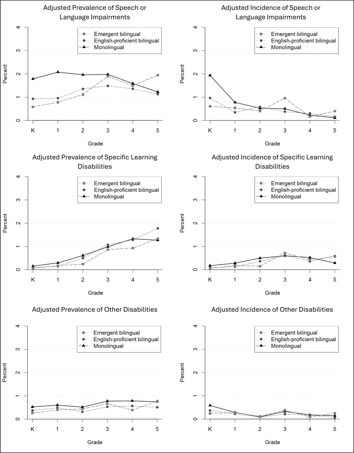
Figure 1 shows the proportions of children receiving special education services in each disability category, by language background. Monolinguals entered kindergarten with the highest prevalence of SLI, followed by a gradual decline through fifth grade. Both bilingual groups entered school with a similar prevalence of SLI, lower than for monolingual children. While the prevalence of SLI for emergent bilinguals increased sharply in third grade and remained higher than the other groups through fifth grade, English-proficient bilinguals exhibited relatively little variation in SLI service receipt as they progressed through school. In contrast with SLI, the baseline prevalence of SLD at school entry was very low for all groups. There was a gradual increase in SLD prevalence from kindergarten to fifth grade for all groups, but with a disproportionate increase for emergent bilinguals, while English-proficient bilinguals and monolinguals followed similar trends to one another. Although trends for SLI and SLD were unique, they shared similarities not observed in other disability categories. For both monolinguals and bilinguals, the overall prevalence of other disabilities was much lower than SLI or SLD and generally did not exhibit the same degree of variability across grades. Both groups of bilinguals exhibited lower rates of other disabilities than monolinguals but, unlike SLI and SLD, emergent bilinguals did not experience a shift from under- to overrepresentation as they progressed through school.
Prevalence of Language-Related Disorders
Table 2 shows the results of the marginal contrasts from the full and reduced logistic regression models, representing the difference in the odds of receiving services for SLI, SLD, or any other disability, for emergent bilinguals and English-proficient bilinguals compared to monolinguals (see Supplemental File 1 for results of individual predictors included in the full models). Figure 2 shows the predicted probabilities of receiving special education services in each disability category for each group (left side of figure), derived from the full, covariate-adjusted, models.
Marginal Contrasts from Logistic Regression and Discrete Time Models for Each Disability Category by Grade (Odds Ratios).
| Prevalence (Logistic Regression Models) | ||||||||||||
| SLI | SLD | Other | ||||||||||
| Reduced Model | Full Model | Reduced Model | Full Model | Reduced Model | Full Model | |||||||
| EB | EPB | EB | EPB | EB | EPB | EB | EPB | EB | EPB | EB | EPB | |
| Grade K | 0.55 | 0.52*** | 0.32* | 0.52** | 0.57 | 0.51 | 0.31 | 0.61 | 0.58 | 0.52** | 0.47 | 0.71 |
| Grade 1 | 0.65 | 0.46*** | 0.37* | 0.46*** | 1.09 | 0.44* | 0.57 | 0.50 | 0.85 | 0.56** | 0.65 | 0.81 |
| Grade 2 | 0.94 | 0.66** | 0.56 | 0.69 | 0.81 | 0.72 | 0.39* | 0.82 | 0.99 | 0.43** | 0.81 | 0.61 |
| Grade 3 | 1.44 | 0.70** | 0.96 | 0.75 | 1.66* | 0.96 | 0.88 | 1.09 | 0.93 | 0.48*** | 0.84 | 0.68 |
| Grade 4 | 1.45 | 0.78 | 0.93 | 0.86 | 1.43 | 0.88 | 0.70 | 0.97 | 0.57 | 0.52*** | 0.46 | 0.72 |
| Grade 5 | 2.31** | 0.84 | 1.60 | 0.92 | 2.05*** | 1.25 | 1.06 | 1.42 | 1.10 | 0.48*** | 1.00 | 0.68 |
| Incidence (Discrete Time Models) | ||||||||||||
| SLI | SLD | Other | ||||||||||
| Reduced Model | Full Model | Reduced Model | Full Model | Reduced Model | Full Model | |||||||
| EB | EPB | EB | EPB | EB | EPB | EB | EPB | EB | EPB | EB | EPB | |
| Grade K | 0.55 | 0.52*** | 0.30** | 0.49** | 0.57 | 0.51 | 0.28 | 0.51 | 0.58 | 0.52** | 0.40 | 0.63 |
| Grade 1 | 1.33 | 0.48** | 0.69 | 0.45** | 1.34 | 0.48* | 0.62 | 0.45* | 1.50 | 0.62 | 0.95 | 0.77 |
| Grade 2 | 1.45 | 1.18 | 0.75 | 1.11 | 0.68 | 0.76 | 0.29* | 0.73 | 1.79 | 0.80 | 1.07 | 0.97 |
| Grade 3 | 3.29** | 0.78 | 1.92 | 0.75 | 2.56** | 1.11 | 1.21 | 1.03 | 1.56 | 0.53 | 1.16 | 0.64 |
| Grade 4 | 1.20 | 1.39 | 0.68 | 1.32 | 1.80 | 0.77 | 0.81 | 0.68 | 0.73 | 0.84 | 0.48 | 0.97 |
| Grade 5 | 6.37*** | 1.52 | 3.65* | 1.43 | 4.18*** | 2.32*** | 1.99 | 2.09** | 2.51 | 0.34* | 1.75 | 0.39 |
-
Note. Monolinguals used as the reference group. SLI = speech or language impairments; SLD = specific learning disability; Other = other disability categories; EB = emergent bilingual; EPB = English-proficient bilingual.
* p < .05, ** p < .01, *** p < .001.
Results from the reduced models showed a significantly higher prevalence of SLI for emergent bilinguals compared to monolinguals in fifth grade, with 131% (OR = 2.31) greater odds of receiving services. English-proficient bilinguals, on the other hand, exhibited a significantly lower SLI prevalence than monolinguals from kindergarten through third grade, with 30% (OR = 0.70) to 54% (OR = 0.46) lower odds of receiving services than monolinguals during this period. Results from the full model revealed significantly lower levels of SLI for emergent bilinguals, compared to monolinguals, in early elementary school, with 63% (OR = 0.37) and 68% (OR = 0.32) lower odds of receiving services in first grade and kindergarten, respectively. The emergence of this effect indicates that the individual- and school-level controls in the full model accounted for significantly lower levels of SLI service receipt for emergent bilinguals, rather than differences in language background. In the full model, the disproportionately high SLI prevalence for emergent bilinguals in third grade diminished, suggesting that variables other than language background may have played a role in mediating this effect. Like with the reduced model, results from the full model showed significantly lower rates of SLI for English-proficient bilinguals, compared to monolinguals, from kindergarten through second grade, ranging from 48% (OR = 0.52) to 64% (OR = 0.46) lower odds of receiving services.
In the SLD category, results from the reduced model showed that the prevalence for emergent bilinguals was similar to monolinguals in early elementary grades, but there was a marked increase starting in third grade. This resulted in a significantly greater likelihood of receiving services for emergent bilinguals in third and fifth grade, with 66% (OR = 1.66) and 105% (OR = 2.05) greater odds, respectively. Service receipt for English-proficient bilinguals, however, was very similar to monolinguals in all but first grade, in which they exhibited 56% (OR = 0.44) lower odds of receiving services. Like with SLI, controlling for the covariates included in the full model resulted in a substantially different trend. In the full model, the adjusted prevalence of SLD for emergent bilinguals was significantly lower than for monolinguals in third grade only, with 61% (OR = 0.39) lower odds of receiving services. Like the SLI full model, the growth in SLD for emergent bilinguals did not result in a significantly higher adjusted prevalence. In the SLD full model, English-proficient bilinguals exhibited no significant difference in rates of service receipt for SLD across grades compared to monolinguals.
An examination of rates for disabilities other than SLI and SLD revealed no significant levels of underrepresentation for emergent bilinguals in any grade. For English-proficient bilinguals, on the other hand, the prevalence of other disabilities was significantly lower than for monolinguals in all grades, ranging from 44% (OR = 0.56) to 57% (OR = 0.43) lower odds of receiving services. When controlling for the covariates included in the full model, the adjusted prevalence of other disabilities services was not significantly different for either bilingual group compared to monolinguals.
Incidence of Language-Related Disorders
Table 2 shows the results of the marginal contrasts for the full and reduced discrete time models, representing the difference in the odds of being identified with SLI, SLD, and other disabilities for emergent bilinguals and English-proficient bilinguals compared to monolinguals (see Supplemental File 1 for results of individual predictors included in the full models). Figure 2 shows the predicted probabilities of being identified within each of the disability categories for each group (right side of figure) derived from the full, covariate-adjusted models.
With respect to the incidence of SLI, emergent bilinguals experienced significantly higher identification rates than monolinguals after second grade, such that the odds of being newly identified were 229% (OR = 3.29) greater in third grade and 537% (OR = 6.37) greater in fifth grade. English-proficient bilinguals, on the other hand, exhibited a significantly lower SLI incidence in early elementary grades, compared to monolinguals, with 48% (OR = 0.52) and 52% (OR = 0.48) lower odds being newly identified in kindergarten and first grade, respectively. In the full model, the adjusted incidence of SLI for emergent bilinguals was significantly lower than for monolinguals in kindergarten only, with 70% (OR = 0.30) lower odds of being newly identified. The inclusion of the additional covariates in the full model reduced the disproportionate increase in identification rates for emergent bilinguals in third grade. For English-proficient bilinguals, results from the full model were similar to those from the reduced model; English-proficient bilinguals exhibited significantly lower SLI identification rates than monolinguals in kindergarten and first grade, with 51% (OR = 0.49) and 55% (OR = 0.45) lower odds of being newly identified, respectively.
In the SLD category, emergent bilinguals experienced a sharp increase in identification rates in third grade. Compared to monolinguals, emergent bilinguals experienced 156% (OR = 2.56) greater odds of being newly identified with SLD in third grade and 318% (OR = 4.18) greater odds in fifth grade. English-proficient bilinguals experienced a gradual growth in the rates of initial identification of SLD, such that the odds of being newly identified, compared to monolinguals, were 52% (OR = 0.48) lower in first grade, but 132% (OR = 2.32) greater in fifth grade. When controlling for the covariates included in the full model, the odds of being newly identified with SLD for emergent bilinguals, compared to monolinguals, were 71% (OR = 0.29) lower in second grade. As observed for SLD prevalence, the controls included in the full model accounted for the disproportionate increase in identification rates for emergent bilinguals in third grade. For English-proficient bilinguals, the inclusion of the covariates in the full model resulted in lower levels of SLD identification than monolinguals in first grade, with 55% (OR = 0.45) lower odds of being newly identified, but higher levels in fifth grade, with 109% (OR = 2.09) greater odds of being identified.
With respect to disability categories other than SLI and SLD, there were no significant differences between emergent bilinguals and monolinguals. The odds of initial identification for English-proficient bilinguals, on the other hand, were 48% (OR = 0.52) and 66% (OR = 0.34) lower than for monolinguals in kindergarten and fifth grade, respectively. When controlling for the additional covariates in the full model, there were no differences in rates of identification for either bilingual group compared to monolinguals.
Sensitivity Analysis
To compare the degree to which outcomes differed when including school-provided ELL classification, we conducted a sensitivity check by estimating full, covariate-adjusted, logistic regression and discrete-time models that included a categorical variable for receipt of English as a second language instruction. Results of the covariate-adjusted models revealed similar outcomes to those described above. Although there were some differences between models in terms of the magnitude of effects across grades, the overall conclusions regarding trends in disability identification remain unchanged. Across models, there were no differences in the prevalence or incidence of SLI or SLD for either bilingual group in any grade.
Discussion
The results of this study contribute to the growing evidence that bilingual children receive special education services at different rates than their monolingual peers. The examination of disability identification patterns for heterogeneous groups of bilinguals remains a relatively underexplored area of investigation, and this study demonstrates how these patterns differ by language background. Although previous research has shown differences in identification rates associated with language background (Artiles et al., 2005; Umansky et al., 2017; Yamasaki & Luk, 2018), no studies have simultaneously considered both the prevalence and incidence of language-related disorders. In addition, few studies have examined the role that language background at school entry plays in the likelihood of disability identification in later grades. Results from this study extend beyond those in the extant disproportionality literature by providing insight into the unique patterns of disability prevalence and incidence for children from different language backgrounds.
Prevalence and Incidence of Language-Related Disorders
The question of whether bilingual children are over- or underrepresented in language-related disorder categories presumes that disproportionality follows a single direction. Despite much of the narrative surrounding the issue, disproportionality is a problem whose complexity cannot be reduced to a one-dimensional characterization. We found substantial variability across disability categories, language background, and grade level, underscoring the importance of carefully examining of how prevalence and incidence change over time, and the role that within-group diversity plays. We provide further evidence that bilinguals are a heterogeneous group with a variety of characteristics that may influence the likelihood of being identified with a disability, and whose identification patterns vary as they progress through school.
We identified several distinctions between emergent and English-proficient bilinguals with respect to the likelihood of being identified with a disability. One of the most salient differences between these two groups was the growth in SLI and SLD prevalence for emergent bilinguals, who experienced a sharp increase in incidence in third grade, leading to overrepresentation in subsequent grades, compared to monolinguals. The prevalence of SLI and SLD for English-proficient bilinguals, on the other hand, was generally lower than for monolinguals in early elementary school grades, but similar in later grades. This same growth in prevalence was absent in other disabilities, highlighting a similarity between SLI and SLD not shared with other disability categories.
Language Background as a Predictor
We examined the role of language background in predicting disability identification by comparing outcomes from reduced and full models. The outcomes from the full models, which included health, developmental, sociodemographic, and academic variables, diverged from those of the reduced models. When controlling for these variables, rates of service receipt for both emergent and English-proficient bilinguals were lower than for monolinguals from kindergarten through second grade. There were no grades in which either bilingual group exhibited a significantly higher adjusted prevalence of SLI than monolinguals. The adjusted prevalence of SLD for both bilingual groups was not significantly different than for monolinguals in all but second grade, in which emergent bilinguals had lower odds of receiving services. Like with SLI, from kindergarten to fifth grade, there were no grades in which the adjusted prevalence of SLD for either bilingual group was greater than for monolinguals. A significantly higher adjusted incidence was present in fifth grade only, for both emergent bilinguals in the SLI category and for English-proficient bilinguals in SLD category, but neither resulted in a significantly higher adjusted prevalence. Given the focus on kindergarten to fifth grade in the present study, further investigation into prevalence and incidence in later grades is warranted.
Although results from the reduced models provide evidence of overrepresentation in SLI and SLD for emergent bilinguals, these effects were mainly accounted for by health, developmental, sociodemographic, and academic variables, as demonstrated in the full, covariate-adjusted models. The reduced models are informative for identifying the existence of the problem, but they are limited in their ability to provide insight into the specific relationship between language background and identification rates. One of the most salient differences between the reduced and full models was the absence of higher identification rates for emergent bilinguals as they progressed through school when accounting for the variables in the full models. Although a spike in adjusted incidence in SLI and SLD for emergent bilinguals in third grade was evident in the full models, it was not significantly greater than for monolinguals. Rather, these results suggest that overrepresentation after second grade was influenced by variables other than language background.
Outcomes from this study provide evidence that bilingual children enter school with lower rates of identified language-related disorders than their monolingual peers. The low prevalence of SLI at school entry for bilinguals may reflect a lack of access to services in early childhood (Morgan et al., 2012). Bilingual children, who are more likely to be from low-resource communities and face socioeconomic or linguistic barriers, may lack access to education and healthcare in early childhood, leading to disparities in rates of diagnosed disabilities before school begins. The comparatively low prevalence of SLI for bilingual children in early elementary grades is consistent with the notion that many teachers may attribute observed language difficulty to bilingualism, and thus may be hesitant to refer to special education (Hibel & Jasper, 2012; Limbos & Geva, 2001). This trend reflects a need to ensure more equity in the early identification of language-related disorders for all children, regardless of language background. Given that emergent bilingual children are at a greater risk of experiencing academic difficulty (Irwin et al., 2024), the outcomes of this study underscore the importance of considering the long-term effects of potential underidentification of language-related disorders at school entry.
The full models included a range of variables to isolate the effects of language background. Academic achievement, behavioral functioning, working memory, and age-at school entry were all significantly associated with disability identification, consistent with previous research (Morgan et al., 2015). Reading ability was associated with the prevalence and incidence of SLI and SLD, as well as other disabilities. Although literacy difficulties may be more commonly considered in SLD identification, they often co-occur with speech sound disorders (e.g., Peterson et al., 2009) and developmental language disorder (e.g., Boudreau & Hedberg, 1999).
Several developmental, health, and sociodemographic variables were also associated with SLD and SLI identification. Maternal age at birth, for example, was associated with an increased likelihood of identification for children born to mothers 18 or younger. This effect was not found for SLD, however, diverging from earlier research suggesting higher rates of SLD among children born to younger mothers (Gao et al., 2023). The lack of an effect for SLD may be due to the inclusion of other variables in the model that are known risk factors for developmental disabilities, such as prematurity at birth and low birthweight. With respect to race/ethnicity, we found that Black students were less likely to receive services for SLI and SLD, relative to White students, but there was no effect for other racial-ethnic groups in these categories. Family immigrant status was a also significant predictor of SLD but not SLI. Like language background, identification rates fluctuate over time for children from different racial-ethnic backgrounds (Cruz & Firestone, 2022) and immigrant families (Hibel & Jasper, 2012). Because we specifically focused on the interaction between grade and language background, we were unable to examine grade-level effects by race-ethnicity and immigrant status.
Limitations and Future Research
Several limitations of this study were related to characteristics of the data set itself. The ECLS-K:2011 is a nationally representative data set, but outcomes may not be generalizable to all schools across the country. Continued investigation into disability identification trends in local contexts and the policy solutions that best meet the needs of each community are needed. With respect to the time range included in the analysis, the ECLS-K:2011 only included outcomes from kindergarten to fifth grade, limiting the ability to draw conclusions beyond elementary school. In addition, the ECLS-K:2011 included data collected from 2010 to 2016, which may not be representative of more recent education trends, particularly in light of the challenges faced by schools following the COVID-19 pandemic (Hammerstein et al., 2021). Regarding the SLD group, there was no distinction between different types of learning difficulties. The SLD category included children with both literacy and numeracy difficulties (i.e., dyscalculia). Given the similar prevalence rates of dyslexia and dyscalculia, as well as the likelihood of their co-occurrence (Butterworth et al., 2011), outcomes in the present study should be interpreted with the consideration that children identified with SLD may have exhibited difficulties with literacy, numeracy, or both.
The absence of late arriving bilingual students in the ECLS-K:2011 presented another limitation in this study, as children who entered school after kindergarten were not included in the data set. The small emergent bilingual sample size (2.38% of the total sample) was attributable, in part, to the absence of children who entered school after kindergarten, such as recent immigrants. Immigrant children who start school in the US after kindergarten likely exhibit a unique academic profile, given the association between age of arrival and academic ability (Heath & Kilpi-Jakonen, 2012), and may also start learning English at a later age, resulting in a longer period of acquisition (Basu, 2018).
Another limitation was related to the method used to distinguish between emergent and English-proficient bilinguals. Because ELL classification decisions were not consistent with screener results across schools, 71% of emergent bilinguals, and 47% English-proficient bilinguals, received English as a second language services. The misalignment between school-reported ELL status and language screener outcomes has been identified in previous work (Umansky & Dumont, 2021), underscoring the variability in classification methods across schools. By using a common measure to distinguish between emergent and English-proficient bilinguals—the preLAS English screener—results of the present study provide insight into the relationship between English proficiency at school entry and disability identification likelihood, but not ELL classification. Although the sensitivity analysis revealed similar outcomes when including ELL classification as an additional control variable, further examination of the relationship between ELL status and disability identification is needed. In addition, the preLAS screener itself only measured expressive and receptive language ability broadly but did not provide detailed information about additional dimensions of language ability (e.g., vocabulary, morphosyntax, phonological awareness). Future studies should further explore the relationship between ELL classification and disability identification, as well as how different means of classification may result in different outcomes.
With respect to the analysis, the focus of this study was on disability identification, and not on exit from special education. It is possible that rates of exiting special education differed across groups, an important consideration for future studies. In addition, results provide insight into differential rates of disability prevalence and incidence, but not misidentification, a limitation not unique to this study. The data used in this study only provide information about differences in identification trends for children from different groups. Future research considering the diagnostic accuracy of disability determinations for children from different backgrounds would provide more insight into the degree to which misidentification contributes to disproportionality.
Implications for Practice
Disproportionality in special education is a complex issue, given the dynamic nature of disability identification across grades. The results of this study highlight the importance of understanding the relationship between language background and special education eligibility determination, with strong implications for effective remedies. A critical first step to developing appropriate interventions is the implementation of adequate measurement approaches, including monitoring receipt of special education services for bilingual children. At present, states are required to collect data related to disproportionality based on race and ethnicity, but not ELL status (Office of Special Education Programs, 2016). Although many states do collect and report these data, the absence of an explicit reporting requirement results in limited availability and specificity.
Because of the multifactorial nature of disproportionality no single solution will adequately address the issue. Approaches to minimize bias in assessment tools, for example, may reduce misidentification (Mancilla-Martinez et al., 2021), but these benefits are restricted to children who are being evaluated for special education eligibility. Integrated multi-tiered approaches, such as response to intervention, provide opportunities to identify children in need of supplemental support in early elementary school and may offer some benefit for emergent bilingual children (O’Connor et al., 2013). Despite the potential of these approaches and their positive effects on academic outcomes (e.g., Lovett et al., 2008; VanDerHeyden et al., 2007; Vaughn et al., 2005), there is no clear evidence of their efficacy in reducing disproportionality (Gilmour et al., 2023; O’Connor et al., 2013, 2014; Ortiz et al., 2025).
Many efforts to reduce disproportionality have focused on intervention at the school level, but not at the community level. Evidence from this and previous studies (Hibel et al., 2010; Morgan et al., 2015; Morgan, Farkas, Hillemeier, & Maczuga, 2017) has highlighted a wide range of factors that may be better addressed well before children enter school, including sociodemographic, developmental, and health characteristics. Limited access to essential early childhood healthcare and education services for children from low-resource communities may result in long-term adverse outcomes. While these barriers are much more challenging to overcome, addressing them proactively through policy reforms and targeted interventions can help reduce systematic differences in education outcomes for children from disadvantaged backgrounds.
Competing Interests
The authors have no competing interests to declare.
Author Contributions
José Ortiz: Conceptualization, Formal Analysis, Methodology, Writing – Original Draft;
Jason Chow: Methodology, Resources, Writing – Review and Editing.
References
Adesope, O. O., Lavin, T., Thompson, T., & Ungerleider, C. (2010). A systematic review and meta-analysis of the cognitive correlates of bilingualism. Review of Educational Research, 80(2), 207–245.
Artiles, A. J., Rueda, R., Salazar, J. J., & Higareda, I. (2005). Within-group diversity in minority disproportionate representation: English language learners in urban school districts. Exceptional Children, 71(3), 283–300. http://doi.org/10.1177/001440290507100305
Artiles, A. J., & Trent, S. C. (1994). Overrepresentation of minority students in special education: A continuing debate. The Journal of Special Education, 27(4), 410–437. http://doi.org/10.1177/002246699402700404
Bailey, P., Emad, A., Huo, H., Lee, M., Liao, Y., Lishinski, A., Nguyen, T., Xie, Q., Yu, J., & Zhang, T. (2021). EdSurvey (Version 2.7.1) [Computer software].
Barragan, B., Castilla-Earls, A., Martinez-Nieto, L., Restrepo, M. A., & Gray, S. (2018). Performance of low-income dual language learners attending English-only schools on the Clinical Evaluation of Language Fundamentals–Fourth Edition, Spanish. Language Speech and Hearing Services in Schools, 49(2), 292. http://doi.org/10.1044/2017_LSHSS-17-0013
Basu, S. (2018). Age-of-arrival effects on the education of immigrant children: A sibling study. Journal of Family and Economic Issues, 39(3), 474–493. http://doi.org/10.1007/s10834-018-9569-4
Bedore, L. M., & Peña, E. D. (2008). Assessment of bilingual children for identification of language impairment: Current findings and implications for practice. International Journal of Bilingual Education and Bilingualism, 11(1), 1–29. http://doi.org/10.2167/beb392.0
Bedore, L. M., Peña, E. D., Anaya, J. B., Nieto, R., Lugo-Neris, M. J., & Baron, A. (2018). Understanding disorder within variation: Production of English grammatical forms by English language learners. Language, Speech, and Hearing Services in Schools, 49(2), 277–291.
Boudreau, D. M., & Hedberg, N. L. (1999). A comparison of early literacy skills in children with specific language impairment and their typically developing peers. American Journal of Speech-Language Pathology, 8(3), 249–260. http://doi.org/10.1044/1058-0360.0803.249
Butterworth, B., Varma, S., & Laurillard, D. (2011). Dyscalculia: From brain to education. Science, 332(6033), 1049–1053. http://doi.org/10.1126/science.1201536
Calvo, R., & Hawkins, S. S. (2015). Disparities in quality of healthcare of children from immigrant families in the US. Maternal and Child Health Journal, 19(10), 2223–2232. http://doi.org/10.1007/s10995-015-1740-z
Catts, H. W., & Kamhi, A. G. (2005). The connections between language and reading disabilities. Psychology Press.
Coutinho, M. J., & Oswald, D. P. (2000). Disproportionate representation in special education: A synthesis and recommendations. Journal of Child and Family Studies, 9(2), 135–156. http://doi.org/10.1023/A:1009462820157
Cruz, R. A., & Firestone, A. R. (2022). Understanding the empty backpack: The role of timing in disproportionate special education identification. Sociology of Race and Ethnicity, 8(1), 95–113. http://doi.org/10.1177/23326492211034890
De Valenzuela, J. S., Copeland, S. R., Qi, C. H., & Park, M. (2006). Examining educational equity: Revisiting the disproportionate representation of minority students in special education. Exceptional Children, 72(4), 425–441. http://doi.org/10.1177/001440290607200403
Dietrich, S., & Hernandez, E. (2019). Language use in the United States: 2019. American Community Survey Reports.
Dirks, E., Spyer, G., van Lieshout, E. C., & de Sonneville, L. (2008). Prevalence of combined reading and arithmetic disabilities. Journal of Learning Disabilities, 41(5), 460–473. http://doi.org/10.1177/0022219408321128
Duncan, S. E., & De Avila, E. A. (1998). preLAS 2000 Cue Picture Book English Form C. CTB/McGraw-Hill Companies, Inc.
Dunn, L. M. (1968). Special education for the mildly retarded: Is much of it justifiable? Exceptional Children, 35(1), 5–22. http://doi.org/10.1177/001440296803500101
Gao, L., Li, S., Yue, Y., & Long, G. (2023). Maternal age at childbirth and the risk of attention-deficit/hyperactivity disorder and learning disability in offspring. Frontiers in Public Health, 11. http://doi.org/10.3389/fpubh.2023.923133
García, O., Kleifgen, J. A., & Falchi, L. (2008). From English language learners to emergent bilinguals. Equity matters. Research review no. 1. Campaign for Educational Equity, Teachers College, Columbia University.
Gillam, R. B., Peña, E. D., Bedore, L. M., Bohman, T. M., & Mendez-Perez, A. (2013). Identification of specific language impairment in bilingual children: I. Assessment in English. Journal of Speech, Language, and Hearing Research, 56(6), 1813–1823. http://doi.org/10.1044/1092-4388(2013/12-0056)
Gilmour, A. F., Harper, J., Lloyd, B., & Van Camp, A. (2023). Response to intervention and specific learning disability identification: Evidence from Tennessee. Journal of Learning Disabilities, 00222194231215013. http://doi.org/10.1177/00222194231215013
Graham, H. R., Minhas, R. S., & Paxton, G. (2016). Learning problems in children of refugee background: A systematic review. Pediatrics, 137(6), e20153994. http://doi.org/10.1542/peds.2015-3994
Gresham, F. M., & Elliott, S. N. (1990). Social skills rating system (SSRS). American Guidance Service.
Hammerstein, S., König, C., Dreisörner, T., & Frey, A. (2021). Effects of COVID-19-related school closures on student achievement—A systematic review. Frontiers in Psychology, 12. http://doi.org/10.3389/fpsyg.2021.746289
Han, W.-J. (2012). Bilingualism and academic achievement. Child Development, 83(1), 300–321. http://doi.org/10.1111/j.1467-8624.2011.01686.x
Harrison, L. J., & McLeod, S. (2010). Risk and protective factors associated with speech and language impairment in a nationally representative sample of 4- to 5-year-old children. Journal of Speech, Language, and Hearing Research, 53(2), 508–529. http://doi.org/10.1044/1092-4388(2009/08-0086)
Heath, A., & Kilpi-Jakonen, E. (2012). Immigrant children’s age at arrival and assessment results. 75. http://doi.org/10.1787/5k993zsz6g7h-en
Hibel, J., Farkas, G., & Morgan, P. L. (2010). Who is placed into special education? Sociology of Education, 83(4), 312–332. http://doi.org/10.1177/0038040710383518
Hibel, J., & Jasper, A. D. (2012). Delayed special education placement for learning disabilities among children of immigrants. Social Forces, 91(2), 503–530. http://doi.org/10.1093/sf/sos092
Huang, F. L. (2016). Alternatives to multilevel modeling for the analysis of clustered data. The Journal of Experimental Education, 84(1), 175–196. http://doi.org/10.1080/00220973.2014.952397
Irwin, V., Wang, K., Jung, J., Kessler, E., Tezil, T., Alhassani, S., Filbey, A., Dilig, R., Mann, F. B., Barnett, M., Purcell, S., & Nachazel, T. (2024). Report on the condition of education 2024.
Kim, S. (2020). When preparation matters: A mixed-method study of in-service teacher preparation to serve English learners. Proceedings of the 2020 AERA Annual Meeting. 2020 AERA Annual Meeting. http://doi.org/10.3102/1573774
Kohnert, K. (2010). Bilingual children with primary language impairment: Issues, evidence and implications for clinical actions. Journal of Communication Disorders, 43(6), 456–473. http://doi.org/10.1016/j.jcomdis.2010.02.002
Limbos, M. M., & Geva, E. (2001). Accuracy of teacher assessments of second-language students at risk for reading disability. Journal of Learning Disabilities, 34(2), 136–151. http://doi.org/10.1177/002221940103400204
Lovett, M. W., De Palma, M., Frijters, J., Steinbach, K., Temple, M., Benson, N., & Lacerenza, L. (2008). Interventions for reading difficulties: A comparison of response to intervention by ELLand EFL struggling readers. Journal of Learning Disabilities, 41(4), 333–352. http://doi.org/10.1177/0022219408317859
Lumley, T. (2020). Survey [Computer software]. http://r-survey.r-forge.r-project.org/survey/
Mancilla-Martinez, J., Hwang, J. K., & Oh, M. H. (2021). Assessment selection for multilingual learners’ reading development. The Reading Teacher, 75(3), 351–362. http://doi.org/10.1002/trtr.2053
McKenzie, K., Milton, M., Smith, G., & Ouellette-Kuntz, H. (2016). Systematic review of the prevalence and incidence of intellectual disabilities: Current trends and issues. Current Developmental Disorders Reports, 3(2), 104–115. http://doi.org/10.1007/s40474-016-0085-7
Morgan, P. L., Farkas, G., Hillemeier, M. M., Li, H., Pun, W. H., & Cook, M. (2017). Cross-cohort evidence of disparities in service receipt for speech or language impairments. Exceptional Children, 84(1), 27–41. http://doi.org/10.1177/0014402917718341
Morgan, P. L., Farkas, G., Hillemeier, M. M., & Maczuga, S. (2012). Are minority children disproportionately represented in early intervention and early childhood special education? Educational Researcher, 41(9), 339–351. http://doi.org/10.3102/0013189X12459678
Morgan, P. L., Farkas, G., Hillemeier, M. M., & Maczuga, S. (2017). Replicated evidence of racial and ethnic disparities in disability identification in U.S. schools. Educational Researcher, 46(6), 305–322. http://doi.org/10.3102/0013189X17726282
Morgan, P. L., Farkas, G., Hillemeier, M. M., Mattison, R., Maczuga, S., Li, H., & Cook, M. (2015). Minorities are disproportionately underrepresented in special education: Longitudinal evidence across five disability conditions. Educational Researcher, 44(5), 278–292. http://doi.org/10.3102/0013189X15591157
National Center for Education Statistics. (2021). The condition of education 2021. https://nces.ed.gov/programs/coe/
National Research Council. (2011). Allocating federal funds for state programs for English language learners. National Academies Press.
O’Connor, R. E., Bocian, K. M., Beach, K. D., Sanchez, V., & Flynn, L. J. (2013). Special education in a 4-year Response to Intervention (RtI) environment: Characteristics of students with learning disability and grade of identification. Learning Disabilities Research & Practice, 28(3), 98–112. http://doi.org/10.1111/ldrp.12013
O’Connor, R. E., Bocian, K. M., Sanchez, V., & Beach, K. D. (2014). Access to a responsiveness to intervention model: Does beginning intervention in kindergarten matter? Journal of Learning Disabilities, 47(4), 307–328. http://doi.org/10.1177/0022219412459354
Office of Special Education Programs. (2016). Significant disproportionality: Essential questions (No. 81 FR 92376). https://www.ed.gov/laws-and-policy/students-disabilities-laws-and-policy/osep-monitoring--significant-disproportionality-reporting-under-idea-part-b
Orellana, C. I., Wada, R., & Gillam, R. B. (2019). The use of dynamic assessment for the diagnosis of language disorders in bilingual children: A meta-analysis. American Journal of Speech-Language Pathology, 28(3), 1298–1317. http://doi.org/10.1044/2019_AJSLP-18-0202
Ortiz, J. A. (2021). Using nonword repetition to identify language impairment in bilingual children: A meta-analysis of diagnostic accuracy. American Journal of Speech-Language Pathology, 30(5), 2275–2295. http://doi.org/10.1044/2021_AJSLP-20-00237
Ortiz, J. A., Cummings, K. D., Dataram, S. A. P., & Chow, J. C. (2025). A systematic review of response to intervention in addressing special education disproportionality for emergent bilinguals. Learning Disability Quarterly. http://doi.org/10.1177/07319487251365231
Paradis, J., Emmerzael, K., & Duncan, T. S. (2010). Assessment of English language learners: Using parent report on first language development. Journal of Communication Disorders, 43(6), 474–497. http://doi.org/10.1016/j.jcomdis.2010.01.002
Peterson, R. L., Pennington, B. F., Shriberg, L. D., & Boada, R. (2009). What influences literacy outcome in children with speech sound disorder? Journal of Speech, Language, and Hearing Research: JSLHR, 52(5), 1175–1188. http://doi.org/10.1044/1092-4388(2009/08-0024)
R Core Team. (2024). R: A language and environment for statistical computing. [Computer software]. R Foundation for Statistical Computing. https://www.R-project.org/
Robinson, G. C., & Norton, P. C. (2019). A decade of disproportionality: A state-level analysis of African American students enrolled in the primary disability category of speech or language impairment. Language, Speech, and Hearing Services in Schools, 50(2), 267–282. http://doi.org/10.1044/2018_LSHSS-17-0149
Samson, J. F., & Lesaux, N. K. (2009). Language-minority learners in special education: Rates and predictors of identification for services. Journal of Learning Disabilities, 42(2), 148–162. http://doi.org/10.1177/0022219408326221
Sansavini, A., Guarini, A., Justice, L. M., Savini, S., Broccoli, S., Alessandroni, R., & Faldella, G. (2010). Does preterm birth increase a child’s risk for language impairment? Early Human Development, 86(12), 765–772. http://doi.org/10.1016/j.earlhumdev.2010.08.014
Schuchardt, K., Maehler, C., & Hasselhorn, M. (2008). Working memory deficits in children with specific learning disorders. Journal of Learning Disabilities, 41(6), 514–523. http://doi.org/10.1177/0022219408317856
Singer, J. D., & Willett, J. B. (2003). Applied longitudinal data analysis: Modeling change and event occurrence. Oxford University Press.
Skiba, R. J., Knesting, K., & Bush, L. D. (2002). Culturally competent assessment: More than nonbiased tests. Journal of Child and Family Studies, 11, 61–78. http://doi.org/10.1207/s15327752jpa6603_2
Snowling, M. J., & Hulme, C. (2021). Annual Research Review: Reading disorders revisited – the critical importance of oral language. Journal of Child Psychology and Psychiatry, 62(5), 635–653. http://doi.org/10.1111/jcpp.13324
Sullivan, A. L. (2011). Disproportionality in special education identification and placement of English language learners. Exceptional Children, 77(3), 317–334. http://doi.org/10.1177/001440291107700304
Tourangeau, K., Lê, T., Wallner-Allen, K., Vaden-Kiernan, N., Blaker, L., Najarian, M., & Mulligan, G. M. (2019). Early childhood longitudinal study, kindergarten class of 2010–11(ECLS-K:2011): User’s manual for the ECLS-K:2011 kindergarten–fifth grade data file and electronic codebook, public version.
Umansky, I. M., & Dumont, H. (2021). English learner labeling: How English learner classification in kindergarten shapes teacher perceptions of student skills and the moderating role of bilingual instructional settings. American Educational Research Journal, 58(5), 993–1031. http://doi.org/10.3102/0002831221997571
Umansky, I. M., Thompson, K. D., & Díaz, G. (2017). Using an ever–English learner framework to examine disproportionality in special education. Exceptional Children, 84(1), 76–96. http://doi.org/10.1177/0014402917707470
VanDerHeyden, A. M., Witt, J. C., & Gilbertson, D. (2007). A multi-year evaluation of the effects of a Response to Intervention (RTI) model on identification of children for special education. Journal of School Psychology, 45(2), 225–256. http://doi.org/10.1016/j.jsp.2006.11.004
Vaughn, S., Mathes, P. G., Linan-Thompson, S., & Francis, D. J. (2005). Teaching English language learners at risk for reading disabilities to read: Putting research into practice. Learning Disabilities Research & Practice (Wiley-Blackwell), 20(1), 58–67. http://doi.org/10.1111/j.1540-5826.2005.00121.x
von Hippel, P. T. (2007). Regression with missing Ys: An improved strategy for analyzing multiply imputed data. Sociological Methodology, 37(1), 83–117. http://doi.org/10.1111/j.1467-9531.2007.00180.x
Wolfe, K., & Durán, L. K. 2. (2013). Culturally and linguistically diverse parents’ perceptions of the IEP process. Multiple Voices for Ethnically Diverse Exceptional Learners, 13(2), 4–18. http://doi.org/10.56829/muvo.13.2.y452140732mlg231
Woodcock, R. W., McGew, K. S., & Mather, N. (2001). Woodcock-Johnson III Tests of Cognitive Abilities. Riverside Publishing.
Yamasaki, B. L., & Luk, G. (2018). Eligibility for special education in elementary school: The role of diverse language experiences. Language, Speech, and Hearing Services in Schools, 49(4), 889–901. http://doi.org/10.1044/2018_LSHSS-DYSLC-18-0006

